Journal of Threatened Taxa | www.threatenedtaxa.org | 26 April 2017 | 9(4): 10021–10034

Irene Gauto1, Fernando Palacios2, Pamela Marchi3, Nelson Silva4 & Gloria Céspedes5
1,3,4,5 Asociación Etnobotánica Paraguaya, Julia Miranda Cueto 795, 2160 San Lorenzo, Paraguay
2 Asociación Guyra Paraguay, Av. Cnel. Carlos Bóveda, Parque Ecológico Capital Verde - Viñas Cué, Asunción, Paraguay
1 igauto@gmail.com (corresponding author), 2 fernandolpd@gmail.com, 3 pamepy@gmail.com, 4 nelsonsr92@gmail.com, 5 gloriacespedes@gmail.com
doi: http://doi.org/10.11609/jott.3085.9.4.10021-10034
Editor: Larry R. Noblick, Montgomery Botanical Center, Miami, USA. Date of publication: 26 April 2017 (online & print)
Manuscript details: Ms # 3085 | Received 03 October 2016 | Final received 12 April 2017 | Finally accepted 14 April 2017
Citation: Gauto, I., F. Palacios, P. Marchi, N. Silva & G. Céspedes (2017). Distribution and population status assessment of the endemic grass-like palm Butia marmorii (Arecales: Arecaceae) in Paraguay. Journal of Threatened Taxa 9(4): 10021–10034; http://doi.org/10.11609/jott.3085.9.4.10021-10034
Copyright: © Gauto et al. 2017. Creative Commons Attribution 4.0 International License. JoTT allows unrestricted use of this article in any medium, reproduction and distribution by providing adequate credit to the authors and the source of publication.
Funding: Conservation Leadership Programme - CLP (Project ID: 02150413); Asociación Etnobotánica Paraguaya - AEPY; Guyra Paraguay.
Competing interests: The authors declare no competing interests.
Author Details: I. Gauto holds a master degree in botany, specialized in palm conservation; she worked in conservation projects for the NGO Guyra Paraguay and was Executive Director of the Asociación Etnobotánica Paraguaya (AEPY), being currently linked as an active member of the AEPY. F. Palacios by the time of the study he was working as a consultant at the geo-processing department of the Guyra Paraguay, with focus on change detection, climate change, natural resources management, modeling of forestry scenarios; and currently he’s finishing a master in Photogrammetry and Geoinformatics at the Hochschule für Technik-Stuttgart, Germany. P. Marchi was the coordinator of the project “Paraguayan Ethnobotany” of AEPY; and currently doing a master degree in environmental science and ecology at the Universita de Pisam Italy. N. Silva is technician in agroecology who worked as curator of the botanical garden kept by AEPY. G. Céspedes is the current Executive Director of the AEPY, professor at the National University of Concepción, Paraguay, associate researcher of the Centro para el Desarrollo de la Investigación Científica (CEDIC), and is an active researcher (PRONII, level I) of the Consejo Nacional de Ciencia y Tecnología (CONACYT).
Author Contribution: IG and GC designed the study; IG obtained financial support; fieldwork carried out by all the authors; FP analyzed satellite images; IG, PM, and GC analyzed fieldwork data; IG wrote the manuscript; FP and GC revised the manuscript.
Acknowledgements: We thank the Conservation Leadership Programme for the financial support, the guidance and the training that made this project possible. We acknowledge the three institutions that support and facilitated our work: Asociación Etnobotánica Paraguaya, Guyra Paraguay and Itaipu Binacional. We thank Paraguayan authorities, especially the Secretary of the Environment (SEAM) for support and permission to collect plant material. We are grateful to the herbaria FCQ (Facultad de Ciencias Químicas) and to botanists Larry Noblick (Missouri Botanical Center) and Harri Lorenzi (Instituto Plantarum) for help in material identification. We thank IDEA WILD for donating field equipment used in the project. Special thanks go to Pier Cacciali to help in the preparation of the manuscript, to Paul Smith for English corrections, and to Nelson Pérez and Guillermo Caballero Marmori from Itaipu Binacional for advice and help in the field.
Abstract: The palm Butia marmorii Noblick was described in 2006 and has been found to date in only two populations in Paraguay. It is a species threatened mainly due to habitat loss and its ecology is largely unknown. Here we performed a potential distribution analysis, providing data about its distribution and ecology. This work was carried out in the Alto Paraná Department, eastern Paraguay, South America. We analyzed satellite images, in conjunction with a multi-temporal analysis using the sensors Landsat 1-MSS,5-TM,8-OLI, of the years 1973, 1984, 2002, 2012 and 2013; and a posterior visual interpretation of an ASTER ASTGTM2 radar image. The final step was an in situ visual verification. We registered 27 potential sites of distribution for Butia marmorii, finding it present in four sites, two of them with limited anthropogenic impacts. We found a density of 0.0054 to 0.11 individuals/m2, and associations with the congener B. paraguayensis. These new Paraguayan populations of Butia marmorii provide verifiable data demonstrating that anthropogenic impact is the principal threat to the species. Here we found that the situation of B. marmorii is even worse than supposed before, and hence we consider the species to be Critically Endangered.
Keywords: Butia paraguayensis, Cerrado, conservation, deforestation, ecology, IUCN, Red List.
Spanish abstract: Resumen: La palmera Butia marmorii Noblick fue descrita en 2006 y hasta el momento se la encuentra únicamente en dos poblaciones en Paraguay. Es una especie amenazada principalmente debido a la pérdida de hábitat y su ecología es muy desconocida. Aquí realizamos un análisis de distribución potencial, proporcionando datos acerca de su distribución y ecología. Este trabajo se realizó en el Departamento de Alto Paraná, este de Paraguay, Sudamérica. Analizamos aquí, imágenes satelitales en conjunto con un análisis multi-temporal de sensores Landsat 1-MSS,5-TM,8-OLI de los años 1973, 1984, 2002, 2012 y 2013; y una posterior interpretación visual de imágenes de radar ASTER ASTGTM2. El paso final fue la verificación in situ. Registramos 27 sitios de distribución potencial para Butia marmorii, encontrándola presente en cuatro sitios, dos de ellos con limitados impactos antropogénicos. Encontramos una densidad de 0.0054 a 0.11 individuos/m2, y asociaciones con la palmera congénere B. paraguayensis. Estas nuevas poblaciones de Paraguay de Butia marmorii proven datos verificables demostrando que los impactos antropogénicos son la principal amenaza para la especie. Aquí consideramos que la situación poblacional de B. marmorii es peor de lo anteriorment supuesto, y por lo danto la consideramos como una especie en Peligro Crítico.
Introduction
Conservation status assessment is extremely useful in conservation biology as a planning tool for conservation actions, focusing the budget (always low) on specific targets that try to improve conservation outputs (Caro & O’Doherty 1999; Simberloff 1998). The most widely utilized assessment of conservation status is the method proposed by the International Union for Conservation of Nature (IUCN), and its website is one of the most popular references for citing the conservation status of different taxa; however, only 5% of the world’s described species have been globally evaluated (IUCN 2016). The IUCN Red List of Threatened Species 2016 database shows 483 palm species assessed (IUCN 2016). This number represents only 19% of the total palm species recognized (2522 species) (Dransfield et al. 2008). Of the 483 palms assessed, 68% are in a threatened category (EW, CR, EN, and VU). This high proportion of threatened species may reflect the vulnerability of the palm family caused by the massive habitat loss that tropical ecosystems are facing (Myers et al. 2000). Typically each country also has its own national red list of threatened species and these often follow the guidelines of the IUCN (Llamozas et al. 2003; Calderón et al. 2005). In Paraguay the Secretariat of Environment (SEAM) updated the national list of threatened species in 2006 (Resolución 524/06) classifying the palm Butia marmorii as critically endangered. However the palm has not been yet included in the IUCN Red List as an assessed species.
Butia marmorii Noblick, 2006, is an acaulescent palm, with small grass-like leaves, and purple inflorescences at ground level (Images 1 & 2). The species is found in subtropical savanna like vegetation known as Cerrado. To date it is known only from two adjacent populations in the vicinity of Itakyry, Department of Alto Paraná, Paraguay, and a single Argentinean record (Noblick 2006) (Fig. 1), but its presence in Brazil (Três Lagoas, Mato Grosso do Sul) was postulated based on photographic records (Noblick 2006). Recent revisions however show that the Brazilian population is not the same species and the Argentinian population no longer exists (Lorenzi et al. 2010; Soares 2015). This makes the species endemic to Paraguay. Gauto et al. (2011) classified Butia marmorii as endangered due to its estimated area of occupancy highlighting other possible locations where the species may occur. Nevertheless, the threat of the loss of its natural habitat put the known population in high risk of extinction as eastern Paraguay has lost more than 50% of its natural vegetation cover in the last 50 years (Huang et al. 2009). In addition to this dramatic loss, the species occurs at low densities, is very inconspicuous, and inhabits isolated patches of Cerrado surrounded by soybean plantations. These characteristics make this species extremely vulnerable to any disturbance of its small area of remnant habitat. The areas where Butia marmorii occurred when it was described are not under legal protection (Noblick 2006).
Most of the biological traits of B. marmorii remain unknown, and the few scientific references that exist deal with descriptions and distribution (Pintaud et al. 2008; Stevens 2014; Soares 2015), and a historic anecdotal narration by Noblick (2014). Hoffmann et al. (2014) provided a summary of studies on the genus, highlighting the lack of information available for B. marmorii. The genus Butia itself, in fact, is poorly studied in general, as it is one of the less important palm genera from an economic point of view (Bernal et al. 2011). Soares (2015) made an important contribution to understanding the systematics of the genus, and mentioned the presence of B. marmorii only in Paraguay. No information about its rate of growth, its reproductive biology or its soil or nutrient requirements is available for the species, although cultivated specimens from the wild have been grown by institutions such as Montgomery Botanical Center (Griffith 2010), and Jardim Botânico Plantarum (http://www.plantarum.org.br/pagina/menus/125/Acervo_Vivo-Dezembro-2011.pdf), and Itaipu Binacional (Irene Gauto, pers. obs.), to ensure the survival of this evolutionary linage.
In order to better understand the threats that a species is facing, it is important to know its real distribution, the density of its populations, and its structure. Distribution models based on physical and ecological characteristics are a useful tool to highlight potential distribution areas of a species, as did Gauto et al. (2011) for B. marmorii. But more precise tools, such as small-scale satellite imagery classification of suitable habitat can show more accurate areas were a species could be found. These results can be verified in situ in order to better understand the real distribution of a species and its current threats in the wild.
In this work, we identify new areas of distribution for Butia marmorii, assessing the ecological status of each population recorded.

Materials and Methods
Potential distribution assessment
Gauto et al. (2011) made an extensive analysis of the distribution of Paraguayan palms stating that based on a spatial prediction, Butia marmorii is the Paraguayan palm with the most limited distribution, after the almost extinct Trithrinax brasiliensis var acanthocoma. Working on the hypothesis that the distribution of this palm must be wider than is currently known, we performed a fine-scale analysis of satellite images. In order to accomplish this, we made a supervised classification and visual interpretation of satellite images, in conjunction with a multi-temporal analysis using the sensors Landsat 1-MSS,5-TM,8-OLI, for the years 1973, 1984, 2002, 2012 and 2013.
The analysis was limited to the “area of occupancy” proposed by Gauto et al (2011), in the Alto Paraná Department (eastern Paraguay). A key factor for the analysis was the identification of Cerrado ecoregion, with which the species is strongly associated. The natural habitats of Alto Paraná are, however, highly disturbed, and it can be difficult to distinguish between natural Cerrado and deforested areas. Consequently, images from 1973 and 1984 were used to identify the historical distribution of the Cerrado, and more recent images to assess changes. The satellite image processing for the years 1973–1984 (120m resolution) was performed employing unsupervised classification methods to identify the areas of the potential presence of the palm using the two sites of known presence as a reference point. We then made a visual interpretation to improve the quality of results, in conjunction with an ASTER ASTGTM2 radar image to eliminate areas located in potentially flooded areas since the palm only occurs in highlands (Fig. 2). Finally, we identified the remaining fragments of habitat with a high probability of housing additional populations, through analysis of Landsat Images from the 2012–2013 (30 m of resolution), along with IKONOS and QuickBird high resolution images from Google Earth.
Once the map of potential distribution areas was available, field verification was performed to confirm the species presence or absence.
In situ population assessment
The verification of the presence of Butia marmorii in potential areas of occurrence was made with a series of fieldtrips. In localities where the palm was found to be present, we performed a survey to assess the population density and the ecological characteristics.
In each locality, 1ha plots were demarcated, divided into 25 sub-plots of 20×20 m (Dallmeier 1996). The spatial distribution of the 25 sub-plots was not necessarily squared (but maintaining the 400 m²), and the disposition was designed for the best fit with the spatial distribution of the palms and its environment. In each sub-plot, the following data were collected: GPS point, number of specimens, phenology status, soil type, soil coverage density, and associated plant species by surveys in the sub-plots.


Results
Distribution assessment
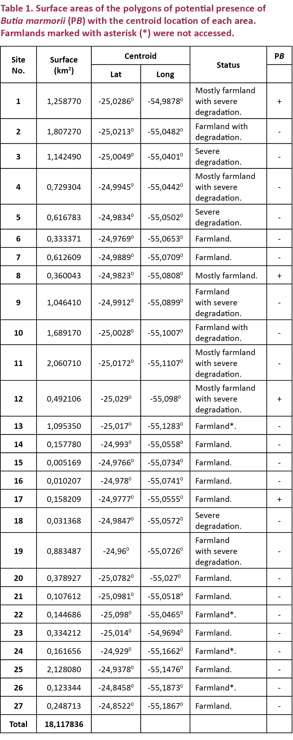
A total of 27 polygons were suggested as potential areas of occurrence of the endangered palm Butia marmorii (Fig. 3). All of them were in the northern Alto Paraná Department. The total surface area of these areas was approximately 18.12km2 (Table 1).
In situ verification confirmed that several of these localities had already been modified and cleared for crops (mostly soybean). In fact, most of the proposed localities were on farmlands, or in areas with severe environmental modification (Table 1). Thirty-five per cent of the suggested localities could not be closely visited because they were in private land and not authorization could be obtain. Butia marmorii populations were identified in sites 1, 8, 12, and 17 (Fig. 4). Of these four sites, only 1 and 8 showed ecological characteristics that could be analyzed, as they exhibited the lowest degree of environmental disruption. Site 12 corresponded to a growing area, where only a few isolated individuals were found, left by the owner of the establishment. Site 17 is a historical collection locality, with a marked reduction of original coverage caused by strong anthropogenic impact. Anthropogenic impacts through time are clearly visible through satellite analysis (Fig. 4) and are proof of habitat reduction for Butia marmorii (Table 2).
Population assessment
We observed an elevated degree of habitat alteration in Cerrado ecosystems where Butia marmorii occurs. Most of the original habitat had been converted into mechanized-agriculture or, to a lesser degree, forestry plantations of exotic species.
The parameters and characteristics of the two populations with less anthropogenic impacts are presented below; but given the lack of formal protection these do not have any greater chance of long term survival than any other localities.
- Site 1: Locality of first collections. Surface of vegetation = 5.8 hectares. Private property in disuse, with significant anthropogenic impact. Individuals = 1142 (density = 0.11 individuals/m2) (Appendix 1). Individuals reproductively active with flowers, fruits or both together. Mostly sandy soil, reddish, with formations of savannas, grasslands, or secondary forest. Figure 6 shows the composition and floristic diversity (at the family level) for the site. The list of associated species in this site is presented in Appendix 1.
- Site 8: Natural area with moderate anthropogenic impact. Surface of vegetation = 16.6 hectares. Individuals = 552 (54 Butia marmorii, 180 B. paraguayensis, and 318 Butia sp. (sterile specimens)). Butia marmorii density was 0.0054 individuals/m2 (Appendix 1). Individuals reproductively active (with flowers/fruits) were found. Mostly clay soil, reddish, with formations of savanna associated shrubs. Figure 6 shows the floristic composition (at the family level) for the site. The composition of the flora and characteristics of this site are presented in Appendix 1.
Sites 12 and 17 held a very low population of Butia marmorii with the highest recorded population of just 20 individuals (Site 12), 15 of which were in a tilled area.
On sites 2, 7 and 12 were found specimens of Butia paraguayensis and some sterile specimens that could not be identified.




Discussion
Species distribution models are powerful tools used in biological conservation, and can be used to predict not only the actual distribution of an organism, but also to infer distribution over time and assess how environmental change might affect that chorology (Theurillat & Guisan 2001; Williams et al. 2003; Thomas et al. 2004). The utility of these programs has been demonstrated numerous times (Carpenter et al. 1993; Loiselle et al. 2003; Naoki et al. 2006), but the predictions are never completely accurate as they work with climatic layers, and the programs do not distinguish the presence of cities or deforestation. Gauto et al. (2011) presented a distribution model for Butia marmorii that is extended northwards to Canindeyú and Amambay departments (Fig. 5c in Gauto et al. 2011). The technique employed here however identifies small and fragmented areas as potential localities of occurrence, as it also incorporates information on land use change.
Through an a posteriori and in situ verification, new records for Butia marmorii, at least two new sites (Sites 8 and 12), are documented. This is important for our understanding of the distribution of B. marmorii in the country. No additional populations of this rare species have been recorded since the species was described (Noblick 2006; Gauto et al. 2011). Gauto et al. (2011) categorized this species as Endangered (“EN” following the IUCN criteria) given the reduced area of occupancy. In addition, here we confirm that the species is threatened by deforestation and rapid changes in land use, and that its distribution is fragmented and restricted to increasingly smaller patches. We quantified habitat loss, and just 14% of the original area of occurrence remains today (Table 2, Fig. 4). Such a decline is illustrated in Site 1, the type locality described by Noblick (2006), and which holds the highest number of individuals (Fig. 7). It is possible to see the patch of Cerrado (darker green area in the center of Fig. 7A) located in the southern extreme of Site 1, and its reduction through time due to anthropic intervention (Fig. 7B–D). Hence, we found that the situation of this palm is even worse than depicted by Gauto et al. (2011). In view of its extent of occurrence (EOO) of less than 100km2, its severely fragmented distribution, and the continuing decline in the extent and quality of its habitat, now we consider Butia marmorii as Critically Endangered CR B1ab(i,ii,iii,iv,v) (Appendix 2) following IUCN categories and criteria (IUCN 2012).
In two places we were able to calculate the population density of the species, finding significant differences between the two sites. Butia marmorii density is significantly higher in Site 1, than in Site 8, even when in both sites the two Butia species share habitat. The density of B. paraguayensis in Site 1 was extremely low, whereas in Site 8 it had a higher density (180/ha) than B. marmorii (54/ha). This is a first approach to the knowledge of the ecology of the species and their ecological relationships with other species. The next step is a detailed analysis of environmental conditions to infer the reasons behind the differing density. No previous studies have focused on the estimation of population density in Butia grass-like palms, but estimations of Butia palm trees (Guilherme & Oliveira 2010; V.V.F. Lima 2011, unpub. data) are predictably smaller than our results given the greater size of Butia palm trees.
In these localities some individuals show intermediate characteristics between B. marmorii and B. paraguayensis, making it difficult for identification in the field; thus specimens with fertile parts were collected and identified afterwards. More detailed taxonomic studies are thus recommended to better understand the systematics of the genus.
A future molecular approach should also be carried out. Given that the area where B. marmorii is present is being rapidly reduced, the chance of panmixis is also reduced, and populations are becoming more isolated. It is alarming that the palm tree Butia eriospatha has a low genetic diversity even in a panmitic population (Nazareno & dos Reis 2012), and that smaller populations are more vulnerable to genetic drift (Nazareno & dos Reis 2014). Needless to say populations of B. marmorii are extremely reduced and urgent and diverse actions are required in order to preserve this linage.
References
Bernal, R., C. Torres, N. García, C. Isaza, J. Navarro, M.I. Vallejo, G. Galeano & H. Balslev (2011). Palm management in South America. The Botanical Review 77(4): 607–646; http://doi.org/10.1007/s12229-011-9088-6
Calderón, E., G. Galeano & N. García (2005). Libro Rojo de Plantas de Colombia. Volumen 2: Palmas, Frailejones y Zamias. Instituto Alexander von Humboldt - Instituto de Ciencias Naturales de la Universidad de Colombia - Ministerio de Ambiente, Vivienda y Desarrollo Territorial, Bogota, 454pp.
Caro, T.M. & G. O’Doherty (1999). On the use of surrogate species in Conservation Biology. Conservation Biology 13(4): 805–814; http://doi.org/10.1046/j.1523-1739.1999.98338.x
Carpenter, G., A.N. Gillison & J. Winter (1993). DOMAIN: a flexible modelling procedure for mapping potential distributions of plants and animals. Biodiversity & Conservation 2(6): 667–680; http://doi.org/10.1007/BF00051966
Dallmeier, F. (1996). From the forest to the user: a methodology update, pp. 43–51. In: Wilson, D.E. & A. Sandoval (eds.). Manu: The biodiversity of Southwestern Peru. Smithsonian Institute, Washington D.C., 672pp.
Gauto, I., R.E. Spichiger & F.W. Stauffer (2011). Diversity, distribution and conservation status assessment of Paraguayan palms (Arecaceae). Biodiversity & Conservation 20: 2705–2728; http://doi.org/10.1007/s10531-011-0100-6
Griffith, P. (2010). Plant exploration: New discoveries by the Montgomery team. Montgomery Botanical News 18: 1.
Guilherme, F.A.G. & A.S. Oliveira (2010). Estrutura populacional de Butia purpurascens Glassman (Arecaceae) en duas áreas de Cerrado sensu stricto no Estado de Goiás. Revista de Biología Neotropical 7(1): 37–45; http://doi.org/10.5216/rbn.v7i1.13853
Hoffmann, J.F., R.L. Barbieri, C.V. Rombaldi & F.C. Chaves (2014). Butia spp. (Arecaceae): An overview. Scientia Horticulturae 179: 122–131; http://doi.org/10.1016/j.scienta.2014.08.011
Huang, C., S. Kim, K. Song, J.R. Townshend, P. Davis, A. Altstatt, O. Rodas, A. Yanosky, R. Clay, C.J. Tucker & J. Musinsky (2009). Assessment of Paraguay’s forest cover change using Landsat observations. Global Planet Change 67 (1–2): 1–12; http://doi.org/10.1016/j.gloplacha.2008.12.009
IUCN (2012). IUCN Red List Categories and Criteria: Version 3.1. Second edition. International Union of Conservation of Nature, Gland and Cambridge, 32pp.
IUCN Red List of Threatened Species (2016). Summary Statistics (http://www.iucnredlist.org/about/summary-statistics). Downloaded on 14 April 2016.
Llamozas, S., R.D. de Stefano, W. Meier, R. Riina, F. Stauffer, G. Aymard, O. Huber & R. Ortiz (2003). Libro Rojo de la flora Venezolana. Provita - Fundación Polar - Fundación Instituto Botánico de Venezuela Dr. Tobías Lasser - Conservación Internacional, Caracas, 555pp.
Loiselle, B.A., C.A. Howell, C.H. Graham, J.M. Goerck, T. Brooks, K.G. Smith & P.H. Williams (2003). Avoiding pitfalls of using species distribution models in conservation planning. Conservation Biology 17(6): 1591–1600; http://doi.org/10.1111/j.1523-1739.2003.00359.x
Lorenzi, H., L.R. Noblick, F. Kahn & E. Ferreira (2010). Brazilian Flora. Instituto Plantarum de Estudos da Flora, Nova Odessa, 384pp.
Naoki, K, M.I. Gómez, R.O. López, R.I. Meneses & J. Vargas (2006). Comparación de modelos de distribución de especies para predecir la distribución potencial de vida silvestre en Bolivia. Ecología en Bolivia 4(1): 65–78.
Nazareno, A.G. & M.S. dos Reis (2012). Linking phenology to mating system: exploring the reproductive biology of the threatened palm species Butia eriospatha. Journal of Heredidy 103(6): 842–852; http://doi.org/10.1093/jhered/ess070
Nazareno, A.G. & M.S. dos Reis (2014). At risk of population decline? An ecological and genetic approach to the threatened palm species Butia eriospatha (Arecaceae) of southern Brazil. Journal of Heredity 105(1): 120–129; http://doi.org/10.1093/jhered/est065
Noblick, L.R. (2006). The grassy Butia: Two new species and a new combination. Palms 50(4): 167–178.
Noblick, L.R. (2014). Butia: what we think we know about the genus. The Palm Journal 208: 5–24.
Pintaud, J.C, G. Galeano, H. Balslev, R. Bernal, F. Borchsenius, E. Ferreira, J.-J. de Granville, K. Mejía, B. Millán, M. Moraes, L. Noblick, F. W. Stauffer & F. Kahn (2008). Las palmeras de América del Sur: diversidad, distribución e historia evolutiva. Revista Peruana de Biología 15(1): 7–29.
Simberloff, D. (1998). Flagships, umbrellas, and keystone species: is single-species management passé in the landscape era? Biological Conservation 83(3):247–257; http://doi.org/10.1016/S0006-3207(97)00081-5
Soares, K.P. (2015). Le genre Butia. Princeps 1: 12–57.
Stevens, J. (2014). Let’s get reacquainted with Butia palms. Southeastern Palms 21(3): 14–31.
Theurillat, J.-P. & A. Guisan (2001). Potential impact of climate change on vegetation in the European Alps: a review. Climate Change 50(1): 77–109; http://doi.org/10.1023/A:1010632015572
Thomas, C.D, A. Cameron, R.E. Green, M. Bakkenes, L.J. Beaumont, Y.C. Collingham, B.F. N. Erasmus, M.F. de Siqueira, A. Grainger, L. Hannah, L. Hughes, B. Huntley, A.S. van Jaarsveld, G.F. Midgley, L. Miles, M.A. Ortega-Huerta, A.T. Peterson, O.L. Phillips & S.E. Williams (2004). Extinction risk from climate change. Nature 472: 145–148; http://doi.org/10.1038/nature02121
Williams, S.E., E.E. Bolitho & S. Fox (2003). Climate change in Australian tropical rainforests: an impending environmental catastrophe. Proceedings of the Royal Society of London, Biological Sciences 270: 1887–1892; http://doi.org/10.1098/rspb.2003.2464

