Journal of Threatened Taxa | www.threatenedtaxa.org | 26 December 2016 | 8(14): 9610–9618

Jesús Lescano 1, Miryam Quevedo 2, Milagros Ramos 3 & Víctor Fernández 4
1,2 Laboratory of Animal Anatomy and Wildlife, School of Veterinary Medicine, Universidad Nacional Mayor de San Marcos, Circunvalación Avenue 2800, Lima 30, Peru
3 El Buen Pastor Zoo, 782 Aries Street, Lima 39, Peru
4 Small Animals´ Clinic, School of Veterinary Medicine, Universidad Nacional Mayor de San Marcos,
Circunvalación Avenue 2800, Lima 30, Peru
1 xtianlescano@gmail.com (corresponding author), 2 mquevedou@unmsm.edu.pe, 3 milaramos_m@yahoo.es, 4 mochefer@hotmail.com
doi: http://dx.doi.org/10.11609/jott.2670.8.14.9610-9618
Editor: Ulrike Streicher, University of Oregon, Eugene, USA. Date of publication: 26 December 2016 (online & print)
Manuscript details: Ms # 2670 | Received 02 April 2016 | Final received 05 December 2016 | Finally accepted 10 December 2016
Citation: Lescano, J., M. Quevedo, M. Ramos & V. Fernández (2016). Chemical restraint of captive Kinkajous Potos flavus (Schreber, 1774) (Carnivora: Procyonidae) using a ketamine, xylazine and midazolam combination and reversal with yohimbine. Journal of Threatened Taxa 8(14): 9610–9618; http://dx.doi.org/10.11609/jott.2670.8.14.9610-9618
Copyright: © Lescano et al. 2016. Creative Commons Attribution 4.0 International License. JoTT allows unrestricted use of this article in any medium, reproduction and distribution by providing adequate credit to the authors and the source of publication.
Funding: None.
Conflict of Interest: The authors declare no competing interests.
Author Details: Jesús Lescano works as Clinical Professor at the Laboratory of Animal Anatomy and Wildlife, School of Veterinary Medicine, Universidad Nacional Mayor de San Marcos (Lima, Peru). His main areas of interest are wildlife anesthesia, reptile clinical medicine, and epidemiology of wildlife diseases. Miryam Quevedo works as Assistant Professor at the Laboratory of Animal Anatomy and Wildlife, School of Veterinary Medicine, Universidad Nacional Mayor de San Marcos (Lima, Peru). Her main areas of interest are wildlife conservation, clinical medicine of exotic mammals, and animal welfare. Milagros Ramos works as veterinarian for wildlife rescue centers in Peruvian Amazon. Her main areas of interest are rehabilitation and reintroduction of wild animals. Víctor Fernández works as Chief Veterinarian at the Small Animals´ Clinic, School of Veterinary Medicine, Universidad Nacional Mayor de San Marcos (Lima, Peru). His main areas of interest are clinical pharmacology, and small animal internal medicine.
Author Contributions: JL performed the study design, chemical immobilizations, data analysis, and manuscript preparation. MQ contributed in the study design, data analysis, literature review, and manuscript review. MR contributed to the study design and chemical immobilizations performance. VF contributed in study design and manuscript review.
Acknowledgements: The authors acknowledge Gerson Silva and El Buen Pastor Zoo staff for their support during the performance of chemical immobilizations.
Abstract: Detailed information on the anaesthetic and cardiorespiratory effects of drug combinations used for the chemical immobilization of Kinkajous (Potos flavus) is scarce. This study assessed the effects of ketamine (2.5mg/kg), xylazine (1mg/kg) and midazolam (0.5mg/kg) combination in P. flavus. Five clinically healthy adult Kinkajous of both sexes were included. Heart rate, respiratory rate, oxygen saturation, blood pressure and body temperature were recorded at five-minute intervals for 25 minutes. Then, animals received 0.125mg/kg of yohimbine by intramuscular injection. Anaesthetic depth was assessed based on stimulus response and muscle tone. Induction, immobilization, and recovery periods were recorded and qualitatively assessed based on the absence of adverse effects. The durations of the induction, immobilization, and recovery periods were 9.42±1.73, 33.33±2.16, and 31.37±5.82 minutes. All periods showed good quality and adequate anaesthetic depth was achieved. Mean heart and respiratory rates were 99±20 beats/minute and 44±9 breaths/minute. Both parameters decreased over the duration of the anaesthesia but they did not reach levels suggesting either bradycardia or bradypnea. Mean body temperature was 37.1±1.5 0C and it also showed a decreasing trend over the duration of the anaesthesia. Mean oxygen saturation was 92±6% and it showed a mildly increasing trend over the duration of the anesthesia. Mean blood pressure was 129±23 mmHg and mild to moderate hypertension was observed. No mortality occurred and no adverse effects were observed in any of the individuals during the three months following immobilization. The assessed anaesthetic combination effectively immobilized the P. flavus individuals, provided good quality and acceptable duration of both induction and recovery periods. It should, however, not be used in Kinkajous with either known hypertension record or pre-existing target organ disease (e.g., renal failure, retinopathy).
Keywords: Anaesthesia, carnivores, immobilization, procyonids, wildlife, zoo animals.
Introduction
Kinkajous Potos flavus are a medium sized procyonid inhabiting neotropical forests ranging from Mexico to Brazil (Melo et al. 2005; Kays et al. 2008). They are nocturnal, solitary, and arboreal, which may account for the fact that Kinkajous are one of the least known mammals in the Neotropics (Melo et al. 2005; Kays et al. 2008; Sampaio et al. 2011; Monterrubio-Rico et al. 2013). Their diet is mainly composed of flowers and nectar but also includes leaves, fruits, insects, bird eggs, and small vertebrates (Monterrubio-Rico et al. 2013). Currently, it is included in the Least Concern (LC) category of the IUCN Red List of Threatened Species (Kays et al. 2008).
In captivity, procyonids can inflict serious wounds on animal husbandry personnel using their claws and teeth if they are stressed or feel pain during handling (Labate et al. 2001). Hence, physical restraint of procyonids is unsafe, requiring the use of chemical immobilization to perform routine (e.g., physical examination, vaccination) or emergency procedures (e.g., medical treatment) (Labate et al. 2001; Association of Zoos and Aquariums Small Carnivore Taxon Advisory Group 2010). Drug combinations can have synergistic effects that vary across species; consequently, it is necessary to investigate the use of drug combinations in each species (Robert et al. 2012). Among the anaesthetic combinations suggested to immobilize procyonids are: ketamine [K], ketamine-diazepam [KD], ketamine-midazolam [KMid], ketamine-xylazine [KX], ketamine-medetomidine [KM], ketamine-medetomidine-butorphanol [KMB], tiletamine-zolazepam [TZ], and tiletamine-zolazepam-xylazine [TZX]. Among them, only K, KM, and TZ are recommended to be specifically used in Potos flavus (Kollias & Abou-Madi 2007; Association of Zoos and Aquariums Small Carnivore Taxon Advisory Group 2010; Ramsay 2015). However, detailed data on anaesthetic and cardiorespiratory effects are only published for KM (Fournier et al. 1998).
The aim of this study was to assess the efficiency of a combination of ketamine, xylazine and midazolam for the immobilization of captive Kinkajous and to describe its anaesthetic and cardiorespiratory effects.
Materials and Methods
Animals
Five adult Kinkajous of both sexes were immobilized. The animals were kept at El Buen Pastor Zoo (Lima, Peru), were clinically healthy, and the immobilizations were performed in order to allow routine health assessments.
Physical and chemical restraint
The animals were physically restrained by grabbing and holding their tails through the wire mesh surrounding the enclosure. They immediately received a combination of ketamine hydrochloride (2.5mg/kg) (Imalgene®, Merial, France), xylazine hydrochloride (1mg/kg) (Dormi-Xyl®, Agrovet Market, Peru) and midazolam maleate (0.5mg/kg) (Midanex®, AC Farma, Peru) by intramuscular injection using a sole syringe. All animals received anaesthetic drugs for an estimated body weight of 2kg. Once immobilized, animals were weighed and actual administered dosages were calculated.
Record of anaesthetic periods
The following was recorded: first effect time (time from drug administration to the appearance of ataxia), recumbency time (time from drug administration until the animal remained in either sternal or lateral recumbency), induction time (time from drug administration until the animal remained unresponsive to external stimuli), and recovery time (time from administration of the antagonistic drug until the animal remained standing for at least five minutes). Room temperature and humidity were recorded during all anaesthesia procedures.
Record of vital signs
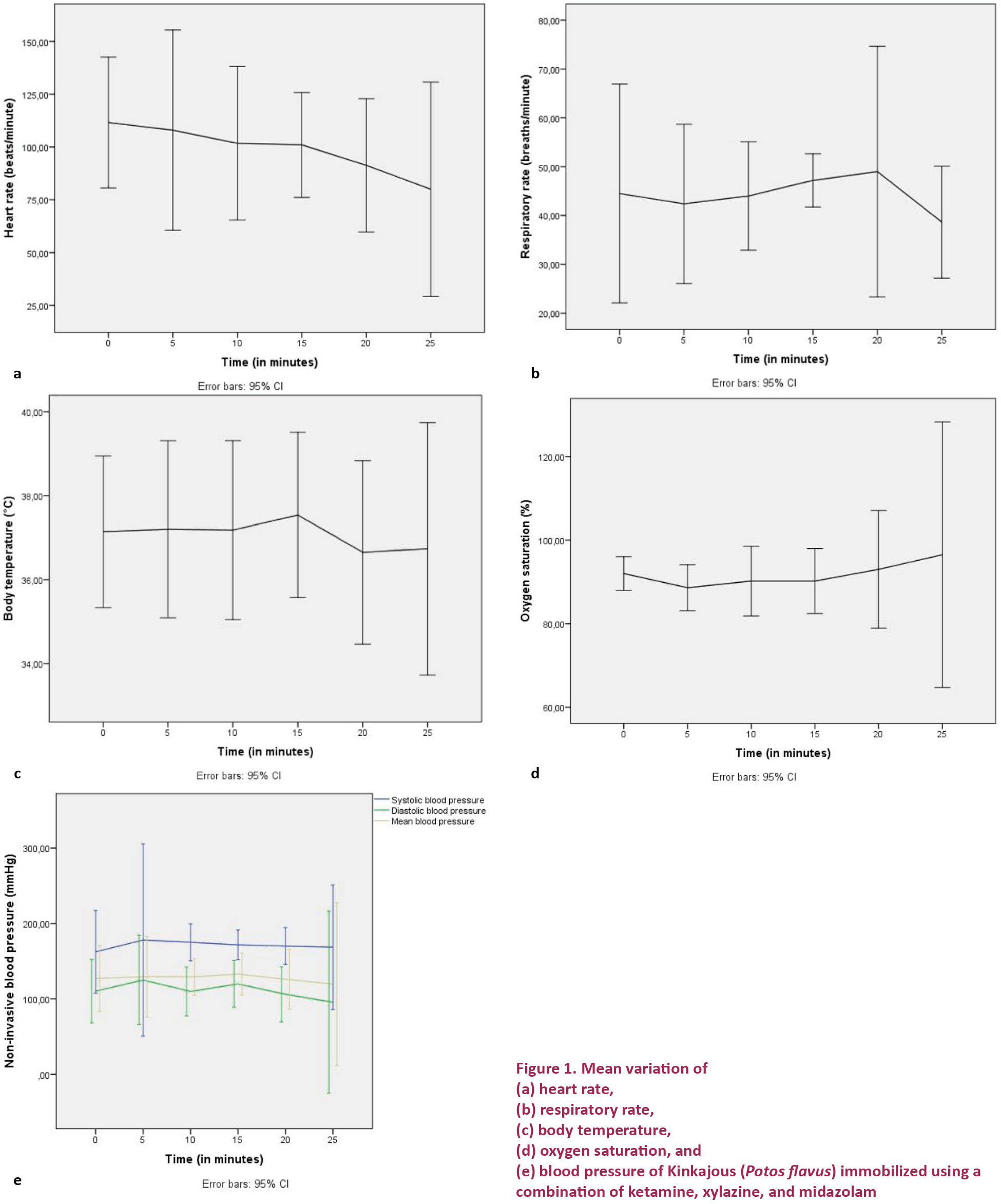
Heart rate, respiratory rate, oxygen saturation, blood pressure, and body temperature were recorded at 5-minute intervals for 25 minutes. Heart rate was assessed by thoracic auscultation using a neonatal stethoscope (Littman, Germany) for 60 seconds. Respiratory rate was assessed by observing thoracic inspiratory movements for 60 seconds. Body temperature was assessed using a digital rectal thermometer. Oxygen saturation was assessed using a pulsoximeter (VS2000V, Ubox, China), placing the probe on the tongue (Heard 2007) (Fig. 1a). Blood pressure was assessed using an oscilloscope (VS2000V, Ubox, China), placing the pressure cuff on the hindlimb (Image 1b) (Heard 2007).
Record of anaesthetic quality and depth
The quality of induction, immobilization, and recovery was assessed by observation of the following undesirable effects: vocalizations, ptyalism, vomiting, licking, sneezing, increased attention to injection site, and uncoordinated or involuntary muscular activity. A rating of “Good” was given when no adverse effect was observed, a “Satisfactory” rating was given when adverse effects were observed during a maximum of five minutes, and an “Unsatisfactory” rating was given when adverse effects lasted more than five minutes. Quality ratings were also represented by a number scale (1=good, 2=satisfactory and 3=unsatisfactory) (Bakker et al. 2013).
Anaesthetic depth was assessed at minute 15 of the immobilization based on the degree of muscle relaxation as the presence of spontaneous movements and mandibular tone, and based on the response to external stimuli as the palpebral reflex, pedal reflex, and response to handling. Presence of spontaneous movements was assessed by direct observation without stimulating the animal. Mandibular tone was assessed based on resistance to mouth opening. Palpebral reflex was assessed by touching the medial cantus with a swab and observing the palpebral closure in response to stimulus. Pedal reflex was assessed performing pressure on the fingers of hindlimbs and observing response to stimulus. Response to handling was assessed by taking a forelimb and letting it fall on the evaluator´s hand and observing the animal´s response. Responses were qualified based on the following number scale: 0 (no response), 1 (normal response) and 2 (exacerbated response) (Lee et al. 2010).
Data Analysis
Central tendency and dispersal statistics were calculated for each parameter. Normality for heart rate, respiratory rate, oxygen saturation, blood pressure, and body temperature was assessed using the Shapiro-Wilk test. Statistically significant differences within each parameter at different recording times were assessed using ANOVA or Kruskall Wallis tests when data were normally or non-normally distributed respectively. Statistical analysis was performed with 95% level of confidence using SPSS software (IBM Corporation, USA).

Results
All animals were successfully immobilized. No mortality occurred and no adverse effects were observed in any of the individuals during the three months following immobilization. The body weight of Kinkajous in the study was 2.43±0.21 kg. The actual administered dosages were 2.07±0.17 mg/kg of ketamine, 0.83±0.07 mg/kg of xylazine, and 0.41±0.03 mg/kg of midazolam. Room temperature and humidity at working time respectively were 26.8±2.3 0C and 67±4 %. First effect, recumbency, induction, and recovery times were 4.3±1.2, 6.5±0.9, 9.4 ±1.7, and 31.4±5.8 minutes.
Heart rate and body temperature values were non-normally distributed (p<0.05) whereas respiratory rate, oxygen saturation, and blood pressure (systolic, diastolic and mean) were normally distributed (p>0.05). Heart rate, respiratory rate, body temperature, oxygen saturation, and blood pressure did not significantly differ over the immobilization period (p>0.05). Mean heart and respiratory rates were 99±20 beats/minute and 44±10 breaths/minute and mean body temperature was 37.1±1.5 0C. Mean oxygen saturation and blood pressure were 92±6% and 129±23mmHg. The means for each assessed parameter during the immobilization period are detailed in Table 1 whereas mean variations are presented in Fig. 1.
The mean score for each induction, immobilization, and recovery periods was 1±0. Mean scores for anaesthetic depth parameters are detailed in Table 2. Pedal reflex and spontaneous movements were absent in all animals. Palpebral reflex was present in two out of five animals (40%). Only one out of five animals (20%) showed handling response and muscular tone.
Discussion
To the authors´ knowledge this is the first article describing the use of ketamine, xylazine, and midazolam combination in Kinkajous Potos flavus. Most studies on the chemical immobilization of procyonids have used a combination of a dissociative agent and either an alpha-2 adrenergic agonist or a benzodiazepine (Ramsay 2015), but the use of a combination of these three types of drugs has been reported only in Procyon lotor (Belant 2004). This drug combination, however, has been used in other wild mammals such as ursids (Caulkett & Cattet 1997; Cattet et al. 1999; Cattet et al. 2003; Onuma 2003; Fahlman et al. 2011; Evans et al. 2012; Painer et al. 2012), xenarthrans (Rojas 2011; Rojas et al. 2013; Lescano et al. 2014b), otarids (Haulena & Gulland 2001), felids (Lewandowski et al. 2002; Curro et al. 2004; Fahlman et al. 2005; Nallar 2010; Johansson et al. 2013; Lescano et al. 2014a), primates (Fahlman et al. 2006; Lescano et al. 2013), mustelids (Belant 2005), and cervids (Miller et al. 2003; Muller et al. 2007; Auer et al. 2010).
The ketamine dosage used in this study was lower than those used in combinations with medetomidine [KM] in P. flavus (Fournier et al. 1998) and in Procyon lotor (Robert et al. 2012). It was also lower than that used in combination with medetomidine and butorphanol [KMB] in Nasua narica (Georoff et al. 2004), and lower than that used in combination with xylazine [KX] in P. lotor (Deresienski & Rupprecht 1989). It was also lower than the dosages when used as a sole agent [K] in P. lotor (Norment et al. 1994) and in P. flavus (Kollias & Abou-Madi 2007). The xylazine dosage used in this study was lower than those used in combination with ketamine [KX] and with tiletamine-zolazepam [TZX] in P. lotor (Deresienski & Rupprecht 1989; Belant 2004). The midazolam dosage used in this study was within the range recommended for immobilization of procyonids in combination with ketamine (Kollias & Abou-Madi 2007). The use of low dosages for each anaesthetic agent in this study might be explained by the synergistic effects of benzodiazepines and alpha-2 adrenergic agonists, which agrees with the concept that when using balanced anaesthestics the dosages of the individual drugs can be reduced a (Bol et al. 2000; Fahlman et al. 2005; Hendrickx et al. 2008; Painer et al. 2012; Ahmad et al. 2013). It should also be noted that this study was conducted on captive animals; free-ranging animals might require higher dosages as seen in other mammals (Caulkett & Haigh 2007a,b; Citino & Bush 2007; Gunkel & Lafortune 2007; Ølberg 2007).
In this study the mean time to the observation of the first anaesthetic effect was longer than the times reported in N. narica immobilized with KMB (5.8±3.2 minutes) (Georoff et al. 2004) and in P. lotor immobilized using TZX (1.7±0.6 minutes) (Belant 2004). Recumbency time recorded in this study was longer than that observed in N. narica immobilized using KMB (5.8±3.2 minutes) (Georoff et al. 2004). Induction time reported in this study was longer than those recorded in P. lotor immobilized with TZX (4.8±3.8 minutes) (Belant 2004), K (3.2±1.8 minutes) (Norment et al. 1994), KM (5.8±2.9 minutes) (Robert et al. 2012), KX (3.5±0.7 minutes) (Deresienski & Rupprecht 1989), and in P. flavus immobilized using KM (3±0.9 minutes) (Fournier et al. 1998). In other mammals, higher dosages of anesthetic drugs shortened induction periods (Painer et al. 2012; Wolfe et al. 2014); hence, the lower drug dosages used in our study might have been the reason for induction longer than those found in other studies on procyonids. Considering that the effects of drug mixtures on induction time vary among species (Robert et al. 2012), the effects of different drugs should always be compared in the same species. Thus, the shorter induction time observed in P. flavus immobilized with KM (Fournier et al. 1998) may be explained by both the higher dosage of ketamine administered in the respective study as well as the use of medetomidine, a drug which provides an earlier onset of sedation than xylazine, probably due to its higher alpha-2 adrenergic receptor specificity (Pawson 2008; Al-Sobayil et al. 2010).
The mean recovery time in this study was shorter than those observed in Procyon lotor immobilized using TZ without antagonist (128.5±48.4 minutes) (Belant 2004), and longer than those observed in P. lotor immobilized using KX and antagonized with 0.2mg/kg of yohimbine (23.7±6 minutes) (Deresienski & Rupprecht 1989). Moreover, comparisons of recovery time are difficult as different authors define the time differently; it is defined as “head up time” (from antagonist administration to the first attempt to lift its head) (Robert et al. 2012), or as “sternal time” (from antagonist administration to sternal recumbency) (Georoff et al. 2004), or as “walking time” (from antagonist administration to coordinated walking) (Deresienski & Rupprecht 1989). Differences in duration of immobilizations, species, and specificity of the antagonist drug also influence the length of the recovery time (Deresienski & Rupprecht 1989; Robert et al. 2012; Yu et al. 2014).
An important aspect of the findings was that induction, immobilization, and recovery periods were of good quality, showing no adverse effects. The achieved anaesthetic depth allowed the performance of routine health assessment procedures and provided safety for the involved personnel.
The mean heart rate in this study was higher than those observed in Potos flavus immobilized using KM (Fournier et al. 1998), and also higher than in Procyon lotor immobilized with KM (Robert et al. 2012) and KX (Deresienski & Rupprecht 1989); it was lower than that observed in Nasua narica immobilized using KMB (Georoff et al. 2004), and similar to that recorded in Procyon lotor immobilized with TZX (Belant 2004). The heart rate in the anesthetized animals did not significantly differ over the assessment period in this study. In contrast Fournier et al. (1998) found a significant decrease in heart rate in P. flavus immobilized with KM. In our study, we only observed a mildly decreasing trend in the heart rate, similar to that reported in Procyon lotor, which were immobilized using KM (Robert et al. 2012) and TZX (Belant 2004). The slight increase in heart rate at the beginning of the immobilization period might be attributable to sympathomimetic effects of ketamine on cardiovascular system (Branson 2001; Grimm & Lamont 2007; Pawson & Forsyth 2008), which progressively disappear as the drug is metabolized. Furthermore, considering that heart rates in resting P. flavus range from 76 to 79 beats/minute at room temperatures from 23–29 0C (Müller & Rost 1983), our results suggest that despite the slight decrease in heart rate the animals did not present bradycardia.
The mean respiratory rate observed in this study was higher than those observed in Potos flavus immobilized with KM (Fournier et al. 1998), higher than in Procyon lotor immobilized using TZX (Belant 2004) and KM (Robert et al. 2012), and higher than in N. narica immobilized with KMB (Georoff et al. 2004). The respiratory rate remained almost stable over the immobilization period in this study only towards the end it showed a mild decrease. Kinkajous, which were immobilized with KM, developed respiratory depression (Fournier et al. 1998); the respiratory rates in our study were higher and suggest that the drug combination we used had no clinically important effects on this parameter.
The body temperatures observed in this study was lower than those observed in Procyon lotor immobilized using TZX (Belant 2004) and KX (Deresienski & Rupprecht 1989) and in those in Nasua narica immobilized with KMB (Georoff et al. 2004); it was similar to the body temperatures that were observed in Procyon lotor immobilized with KM (Robert et al. 2012), and higher than the body temperatures that were observed in Potos flavus immobilized with KM (Fournier et al. 1998). This parameter did not vary significantly over the immobilization period. On the contrary, a significant decrease was observed in Potos flavus immobilized using KM (Fournier et al. 1998). This parameter showed a mild decrease with a difference of 0.40C between the beginning and the end of immobilization period. This finding is similar to what was observed by Belant (2004) in Procyon lotor immobilized using TZX. In our study no animal showed severe hypothermia (i.e. T° <34°C) comparable to that observed in two P. flavus immobilized with KM (Fournier et al. 1998). Room temperature in our study was lower than that recorded by Fournier et al. (1998) in their study, and they do not mention the use of support to maintain the body temperature of the animals, whereas we did take measures to prevent hypothermia in our animals during the study (placing animals on a warm water blanket and under an infrared heat lamp). Considering that the body temperature of Potos flavus ranges from 36±0.6 0C (during the day) to 38.1±0.4 0C (during the night) (Ford & Hoffmann 1988), it can be inferred that the KXMid combination we used in our study showed, had only a minimal and clinically insignificant effect on the body temperature. This difference could be explained by the fact that we provided thermal support to animals or because KXMid has less of a hypothermic effect than KM.
The oxygen saturation observed in this study was higher than those recorded in N. narica immobilized using KMB (Georoff et al. 2004) and those in P. flavus immobilized with KM (Fournier et al. 1998). In our study, no animal showed hypoxemia (i.e., SpO2 <80%), in contrast to observations in Potos flavus, which were immobilized using KM (Fournier et al. 1998). Though no statistically significant variation was observed in this parameter over the immobilization period, it showed an increasing trend. Xylazine produces an initial peripheral vasoconstriction, due to post synaptic α1 and α2 receptor stimulation; later it causes vasodilatation due to both central and peripheral pre synaptic α2 receptors stimulation (Grimm & Lamont 2007; Pawson 2008). This vasoconstrictive effect of xylazine at the beginning of the immobilization, could cause the pulsoximeter to underestimate true oxygen saturation (Hall et al. 2001; Moens & Coppens 2007). Such underestimation would be corrected as the vasoconstrictive effect progressively disappeared (Hall et al. 2001; Longley 2008; Flecknell 2009). The oxygen saturation remained within an acceptable range for anesthetized mammals without oxygen supplementation (i.e. SpO2>90%) (Mosley & Gunkel 2007; Sawyer 2007; Flecknell 2009) over most of the immobilization period, suggesting that our anaesthetic combination had no clinically relevant effect on this parameter.
The mean blood pressure observed in this study remained stable over the immobilization period and it is the first study presenting blood pressure for of Kinkajous during anaesthesia. In most mammals, hypotension is defined as a mean blood pressure values lower than 60mmHg and systolic blood pressure values lower than 90mmHg (Mosley & Gunkel 2007; Sawyer 2007) and hypertension is defined as systolic blood pressure values above 150mmHg (Sawyer 2007). According to this scale, most animals immobilized in this study presented mild to moderate hypertension (Citino et al. 2002; Brown et al. 2007), which is a common and undesired side effect of xylazine and ketamine (Mosley & Gunkel 2007; Pawson 2008; Pawson & Forsyth 2008). Unfortunately, there are no blood pressure baseline data for Kinkajous or other procyonids; hence, the actual significance of the observed acute hypertension in our study is unclear. And though no animal died during the anaesthesia or the three months after the immobilization, absence of morbidity could not be unequivocally assumed. In domestic animals, target organ damage (e.g., renal failure, retinopathy, encephalopathy, ventricular hypertrophy) has been described as a possible consequence of transient acute hypertension (Cattet et al. 1999b; Brown et al. 2007). Therefore, we do recommend not to use KXMid in Kinkajous with either known hypertension record or pre-existent disease in any of the target organs.
Conclusions
The ketamine, xylazine, and midazolam combination assessed in this study provided effective and safe immobilization of Kinkajous Potos flavus.
References
Al-Sobayil, F.A., A.F. Ahmed & Y. Al-rauji (2010). A comparison of xylazine/ketamine and medetomidine/ketamine for immobilization of White-tailed Deer (Odocoileus virginianus). Journal of Agricultural and Veterinary Sciences Qassim University 2(2): 77–86.
Ahmad, R.A., Amarpal, P. Kinjavdejar, H.P. Aithal, A.M. Pawde & D. Kumar (2013). Potential use of dexmedetomidine for different levels of sedation, analgesia and anesthesia in dogs. Veterinarni Medicina 58(2): 87–95.
Association of Zoos and Aquariums (AZA) Small Carnivore Taxon Advisory Group (SCTAG) (2010) Procyonid (Procyonidae) Care Manual. Association of Zoos and Aquariums, Silver Spring, MD, 114pp.
Auer, U., S. Wenger, C. Beigelbo, W. Zenker & M. Mosing (2010). Total intravenous anesthesia with midazolam, ketamine, and xylazine or detomidine following induction with tiletamine, zolazepam, and xylazine in Red Deer (Cervus elaphus hippelaphus) undergoing surgery. Journal of Wildlife Diseases 46(4): 1196–1203; http://dx.doi.org/10.7589/0090-3558-46.4.1196
Bakker, J., J. Uilenreef, E.R.J. Pelt, H.P.M. Brok, E.J. Remarque & J.A.M. Langermans (2013). Comparison of three different sedative anaesthetic protocols (ketamine, ketamine-medetomidine and alphaxalone) in Common Marmosets (Callithrix jacchus). BMC Veterinary Research 9: 113; http://dx.doi.org/10.1186/1746-6148-9-113
Belant, J.L. (2004). Field immobilization of Raccoons (Procyon lotor) with telazol and xylazine. Journal of Wildlife Diseases 40(4): 787–790; http://dx.doi.org/10.7589/0090-3558-40.4.787
Belant, J.L. (2005). Tiletamine-zolazepam-xylazine immobilization of American Marten (Martes americana). Journal of Wildlife Diseases 41(3): 659–663; http://dx.doi.org/10.7589/0090-3558-41.3.659
Bol, C.J.J., J.P.W. Vogelar, J. Tang & J.W. Mandema (2000). Quantification of pharmacodynamic interactions between dexmedetomidine and midazolam in the rat. Journal of Pharmacology and Experimental Therapeutics 294(1): 347–355.
Branson, K.R. (2001). Injectable anesthetics, pp. 213–267. In: Adams, H.R. (ed.). Veterinary Pharmacology and Therapeutics, 8th Edition. Blackwell Publishing, Ames, Iowa, USA, 1201pp.
Brown, S., C. Atkins, R. Bagley, A. Carr, L. Cowgill, M. Davidson, B. Egner, J. Elliot, R. Henik, M. Labato, M. Littman, D. Polzin, L. Ross, P. Snyder & R. Stepien (2007). Guidelines for the identification, evaluation, and management of systemic hypertension in dogs and cats. Journal of Veterinary Internal Medicine 21: 542–558; http://dx.doi.org/10.1111/j.1939-1676.2007.tb03005.x
Cattet, M.R.L., N.A. Caulkett, S.C. Polischuk & M.A. Ramsay (1999a). Anesthesia of Polar Bears (Ursus maritimus) with zolazepam-tiletamine, medetomidine-ketamine, and medetomidine-zolazepam-tiletamine. Journal of Zoo and Wildlife Medicine 30(3): 354–360.
Cattet, M.R.L., N.A. Caulkett & G.B. Stenhouse (2003). Anesthesia of Grizzly Bears using xylazine-zolazepam-tiletamine or zolazepam-tiletamine. Ursus 14(1): 88–93.
Cattet, M.R.L., N.A. Caulkett, N.A. Streibx, K.E. Torske & M.A. Ramsay (1999b). Cardiopulmonary response of anesthetized Polar Bears to suspension by net and sling. Journal of Wildlife Diseases 35(3): 548–556; http://dx.doi.org/10.7589/0090-3558-35.3.548
Caulkett, N. & J.C. Haigh (2007a). Deer (Cervids), pp. 607–612. In: West, G., D. Heard & N. Caulkett (eds.). Zoo Animal and Wildlife Immobilization and Anesthesia, 1st Edition. Blackwell Publishing, Ames, Iowa, USA, 718pp.
Caulkett, N. & J.C. Haigh (2007b). Wild Sheep and Goats, pp. 629–633. In: West, G., D. Heard & N. Caulkett (eds). Zoo Animal and Wildlife Immobilization and Anesthesia, 1st Edition. Blackwell Publishing, Ames, Iowa, USA, 718pp
Caulkett, N.A. & M.R.L. Cattet (1997). Physiological effects of medetomidine-zolazepam-tiletamine immobilization in Black Bears. Journal of Wildlife Diseases 33(3): 618–622; http://dx.doi.org/10.7589/0090-3558-33.3.618
Citino, S.B. & M. Bush (2007). Giraffidae, pp. 595–605. In: West, G., D. Heard & N. Caulkett (eds.). Zoo Animal and Wildlife Immobilization and Anesthesia, 1st Edition. Blackwell Publishing, Ames, Iowa, USA, 718pp.
Citino, S.B., M. Bush, D. Grobler & W. Lance (2002). Anesthesia of boma-captured Lichtenstein´s Hartebeest (Sigmoceros lichtensteinii) with a combination of thiafentanil, medetomidine, and ketamine. Journal of Wildlife Diseases 38(2): 457–462; http://dx.doi.org/10.7589/0090-3558-38.2.457
Curro, T.G., D. Okeson, D. Zimmerman, D.L. Armstrong & L.G. Simmons (2004). Xylazine-midazolam-ketamine versus medetomidine-midazolam-ketamine anesthesia in captive Siberian Tigers (Panthera tigris altaica). Journal of Zoo and Wildlife Medicine 35(3): 320–327; http://dx.doi.org/10.1638/03-049
Deresienski, D.T. & C.E. Rupprecht (1989). Yohimbine reversal of ketamine-xylazine immobilization of raccoons (Procyon lotor). Journal of Wildlife Diseases 25(2): 169–174; http://dx.doi.org/10.7589/0090-3558-25.2.169
Evans, A.L., V. Sahlén, O.G. Stoen, A. Fahlman, S. Brunberg, K. Madslien, O. Fröbert, J.E. Swenson & J.M. Arnemo (2012). Capture, anesthesia and disturbance of free-ranging Brown Bears (Ursus arctos) during hibernation. PlosOne 7(7): e40520; http://dx.doi.org/10.1371/journal.pone.0040520
Fahlman, A., J.M. Arnemo, J.E. Swenson, J. Pringle, S. Brunberg & G. Nyman (2011). Physiologic evaluation of capture and anesthesia with medetomidine-zolazepam-tiletamine in Brown Bears (Ursus arctos). Journal of Zoo and Wildlife Medicine 42(1): 1–11; http://dx.doi.org/10.1638/2008-0117.1
Fahlman, A., E.J. Bosi & E.J. Nyman (2006). Reversible anesthesia of Southeast Asian primates with medetomidine, zolazepam, and tiletamine. Journal of Zoo and Wildlife Medicine 37(4): 558–561; http://dx.doi.org/10.1638/05-044.1
Fahlman, A., A. Loveridge, C. Wenham, C. Foggind, J.M. Arnemo & G. Nyman (2005). Reversible anaesthesia of free-ranging Lions (Panthera leo) in Zimbabwe. Journal of South African Veterinary Association 6(4): 187–192; http://dx.doi.org/10.4102/jsava.v76i4.424
Flecknell, P. (2009). Anesthetic management, pp. 79–108. In: Flecknell, P. (ed.). Laboratory Animal Anesthesia, 3rdEdition. Academic Press, London, UK, 300pp
Ford, L.S. & R.S. Hoffmann (1988). Potos flavus. Mammalian Species 321: 1–9.
Fournier, P., C. Fournier-Chambrillon & J.C. Vié (1998). Immobilization of wild Kinkajous (Potos flavus) with medetomidine-ketamine and reversal by atipamezole. Journal of Zoo and Wildlife Medicine 29(2): 190–194.
Georoff, T.A., D. Boon, E.E. Hammond, S.T. Ferrell, R.W. Radcliffe (2004). Preliminary results of medetomidine-ketamine-butorphanol for anesthetic management of captive White-nosed Coati (Nasua narica). Proceedings AAZV, AAWV, WDA Joint Conference 384–387pp.
Grimm, K.A. & R.W. Lamont (2007). Clinical pharmacology, pp. 3–36. In: West, G., D. Heard & N. Caulkett (eds.). Zoo Animal and Wildlife Immobilization and Anesthesia, 1st Edition. Blackwell Publishing, Ames, Iowa, USA, 718pp.
Gunkel, C. & R.W. Lafortune (2007). Felids, pp. 83–91. In: West, G., D. Heard & N. Caulkett (eds.). Zoo Animal and Wildlife Immobilization and Anesthesia, 1st Edition. Blackwell Publishing, Ames, Iowa, USA, 718pp.
Hall, L.W., K.W. Clarke & C.M. Trim (2001). Patient monitoring and clinical measurement, pp. 29–59. In: Hall L.W., K.W. Clarke & C.M. Trim (eds.). Veterinary Anesthesia, 10th Edition. S.W. Saunders, England, UK, 561pp.
Haulena, M. & C.M. Gulland (2001). Use of medetomidine-zolazepam-tiletamine with and without atipamezole reversal to immobilize captive California Sea Lions. Journal of Wildlife Diseases 37(3): 566–573; http://dx.doi.org/10.7589/0090-3558-37.3.566
Heard, D. (2007). Monitoring, pp. 83–91. In: West, G., D. Heard & N. Caulkett (eds.). Zoo Animal and Wildlife Immobilization and Anesthesia, 1st Edition. Blackwell Publishing, Ames, Iowa, USA, 718pp.
Hendrickx, J.F.A., E.I. Eger II, J.M. Sonner & S.L. Shafer (2008). Is synergy the rule? A review of anesthetic interactions producing hypnosis and immobility. Anesthesia and Analgesia 107(2): 494–506; http://dx.doi.org/10.1213/ane.0b013e31817b859e
Johansson, O., J. Malmsten, C. Mishra, P. Lkhagvajav & T. McCarthy (2013). Reversible immobilization of free-ranging Snow Leopards (Panthera uncia) with a combination of medetomidine and tiletamine-zolazepam. Journal of Wildlife Diseases 49(2): 338-346; http://dx.doi.org/10.7589/2012-02-049
Kays, R., F. Reid, J. Schipper & K. Helgen (2008). Potos flavus. In: IUCN 2013. IUCN Red List of Threatened Species. Version 2013.2. <www.iucnredlist.org>. Downloaded on 06 February 2014.
Kollias, G. & N. Abou-Madi (2007). Procyonids and Mustelids, 417–427. In: West, G., D. Heard & N. Caulkett (eds.). Zoo Animal and Wildlife Immobilization and Anesthesia, 1st Edition. Blackwell Publishing, Ames, Iowa, USA, 718pp.
Labate, A.S., A.L.V. Nunes & M.S. Gomes (2001). Order Carnivora, Family Procyonidae (Raccoons, Kinkajous), pp. 317-322. In: Fowler, M.E. & Z.S. Cubas (eds.). Biology, Medicine, and Surgery of South American Wild Animals, 1st edition. Iowa State University Press, Ames, Iowa, USA, 718pp
Lee, V.K., L.M. Flynt , L.M. Haag & D.K. Taylor (2010). Comparison of the effects of ketamine, ketamine-medetomidine, and ketamine-midazolam on physiologic parameters and anesthesia induced stress in Rhesus (Macaca mulatta) and Cynomolgus (Macaca fascicularis) macaques. Journal of the American Association of Laboratory Animal Science 49: 57–63.
Lescano, J., M. Quevedo, V. Fernández, H. Gálvez, J. Alfonso, D. Cornejo & CIVEFAS Students Group (2013). Reversible chemical immobilization of Peruvian Red-necked Owl Monkeys (Aotus nancymaae) using ketamine, xylazine and midazolam - preliminary data. Proceedings of the 2nd Symposium of Primatology in Peru, Iquitos, Peru.
Lescano, J., M. Quevedo, L. Baselly, A. Crespo & V. Fernández (2014a). Chemical immobilization of captive Cougars Puma concolor (Linnaeus, 1771) (Carnivora: Felidae) using a combination of tiletamine-zolazepam, ketamine and xylazine. Journal of Threatened Taxa 6(14): 6659–6667; http://dx.doi.org/10.11609/JoTT.o3973.6659-67
Lescano, J., M. Quevedo, L. Baselly, V. Fernández (2014b). Short-term reversible chemical immobilization of captive Two-toed Sloths (Choloepus didactylus) using ketamine, xylazine and midazolam. [In Spanish]. Revista de Investigaciones Veterinarias del Perú 25(2): 171–181; http://dx.doi.org/10.15381/rivep.v25i2.8488
Lewandowski, A.H., C.J. Bonar & S.E. Evans (2002). Tiletamine-zolazepam, ketamine, and xylazine anesthesia of captive Cheetah (Acinonyx jubatus). Journal of Zoo and Wildlife Medicine 33(4): 332–336; http://dx.doi.org/10.1638/1042-7260(2002)033[0332:TZKAXA]2.0.CO;2
Longley, L. (2008). Mammal anaesthesia, pp. 27–35. In: Longley, L. (ed.). Anaesthesia of Exotic Pets, 1st Edition. Elsevier Saunders, China, 314pp.
Melo, F.R., E.F. Barbosa, S.L.F. Souza, D.S. Ferraz, E.R. Rodes, S.M. Souza, M.B. Faria, M.S. Nery, B.A.P. Cosenza & F.S. Lima (2005). Rediscovery of Kinkajou, Potos flavus Schreber, 1774 (Carnivora: Procyoinidae) in Minas Gerais State, Southeastern Brazil. [In Portuguese]. Boletim do Museu de Biologia Mello Leitao 18: 49–57.
Moens, Y. & P. Coppens (2007). Patient monitoring and monitoring equipment, pp. 62–78. In: Seymour, C. & T. Duke-Novakovski (eds.). BSAVA Manual of Canine and Feline Anaesthesia and Analgesia, 2nd Edition. British Small Animal Veterinary Association, Gloucester, UK, 344pp.
Monterrubio-Rico, T.C., J.F. Charre-Medellín, A.I. Villanueva-Hernández, L. León-Paniagua (2013). New records of the Kinkajou (Potos flavus) for Michoacán, establishing its northernmost distributional limit on the Pacific. [In Spanish]. Revista Mexicana de Biodiversidad 84: 1002–1006; http://dx.doi.org/10.7550/rmb.34419
Mosley, C. & C. Gunkel (2007). Cardiovascular and pulmonary support, pp. 93–102. In: West, G., D. Heard & N. Caulkett (eds.). Zoo Animal and Wildlife Immobilization and Anesthesia, 1st Edition. Blackwell Publishing, Ames, Iowa, USA, 718pp.
Miller, B.F., L.I. Muller, T.N. Storms, T.N. Ramsay, D.A. Osborn, R.J. Warren, K.V. Miller & L.A. Adams (2003). A comparison of carfentanil/xylazine and telazol/xylazine for immobilization of White-tailed Deer. Journal of Wildlife Diseases 39(4): 851–858; http://dx.doi.org/10.7589/0090-3558-39.4.851
Müller, E.F. & H. Rost (1983). Respiratory frequency, total evaporative water loss and heart rate in the Kinkajou (Potos flavus Schreber). Zeitschrift Für Säugetierkunde 48(4): 217–226.
Muller, L.I., D. Osborn, E.C. Ramsay, T.J. Doherty, B. Miller, R. Warren & K.V. Miller (2007). Use of xylazine/ketamine or medetomidine combined with either ketamine, ketamine/butorphanol, or ketamine/telazol for immobilization of White-tailed Deer (Odocoileus virginianus). Journal of Animal Veterinary Advances 6: 435–440.
Nallar, R. (2010). Comparison of two protocols of immobilization with ketamine + medetomidine vs tiletamine/zolazepam + medetomidine on free-ranging Ocelot (Leopardus pardalis) in Madidi National Park, Bolivia. [In Spanish]. Ecología en Bolivia 45(1): 55–63.
Norment, J.L., C.L. Elliot, P.S. Costello (1994). Another look at chemical immobilization of Raccoons (Procyon lotor) with ketamine hydrochloride. Journal of Wildlife Diseases 30(4): 541–544; http://dx.doi.org/10.7589/0090-3558-30.4.541
Ølberg, R.A. (2007). Monkeys and Gibbons, pp. 375–386. In: West, G., D. Heard & N. Caulkett (eds.). Zoo Animal and Wildlife Immobilization and Anesthesia, 1st Edition. Blackwell Publishing, Ames, Iowa, USA, 718pp.
Onuma, M. (2003). Immobilization of Sun Bears (Helarctos malayanus) with medetomidine-zolazepam-tiletamine. Journal of Zoo and Wildlife Medicine 34(2): 202–205; http://dx.doi.org/10.1638/10427260(2003)034[0202:IOSBHM]2.0.CO;2
Painer, J., A. Zedrosser, J.M. Arnemo, A. Fahlman, S. Brunberg, P. Segerström & J.E. Swenson (2012). Effects of different doses of medetomidine and tiletamine-zolazepam on the duration of induction and immobilization in free-ranging yearling Brown Bears (Ursus arctos). Canadian Journal of Zoology 90(6): 753–757; http://dx.doi.org/10.1139/Z2012-046
Pawson, P. (2008). Sedatives, pp. 113–125. In: Maddison, J.E., S.W. Page & D.B. Church (eds.). Small Animal Clinical Pharmacology, 2nd Edition. Saunders Elsevier, Edinburgh, UK, 589pp.
Pawson, P. & S. Forsyth (2008). Anesthetic agents, pp. 83–112. In: Maddison, J.E., S.W. Page & D.B. Church (eds.). Small Animal Clinical Pharmacology, 2nd Edition. Saunders Elsevier, Edinburgh, UK, 589pp.
Ramsay, E. (2015). Procyonids and Viverrids, pp. 491–497. In: Miller, R.E. & M.E. Fowler (eds.). Fowler´s Zoo and Wild Animal Medicine, 8th Edition. Elsevier Sunders, St. Louis, Missouri, USA, 773pp.
Robert, K., D. Garant & F. Pelletier (2012). Chemical immobilization of Raccoons (Procyon lotor) with ketamine-medetomidine mixture and reversal with atipamezole. Journal of Wildlife Diseases 48(1): 122–130; http://dx.doi.org/10.7589/0090-3558-48.1.122
Rojas, G. (2011). Chemical immobilization of Two-toed Sloths Choloepus hoffmanni (Peters, 1858) using ketamine, dexmedetomidine and midazolam, and reversal with atipamezol. [In Spanish]. Edentata 12: 20–27; http://dx.doi.org/10.5537/020.012.0104
Rojas, G., L. Bermúdez & M.A. Enciso (2013). Chemical immobilization of captive Andean Hairy Armadillos Chaetophractus nationi (Thomas, 1894): use of ketamine, xylazine and midazolam and reversal with yohimbine. [In Spanish]. Edentata 14: 51–57; http://dx.doi.org/10.5537/020.014.0106
Sampaio, R., M.N.F. da Silva, M. Cohn-Haft (2011). Reassessment of the occurrence of the Kinkajou (Potos flavus Schreber, 1774) and Olingo (Bassaricyon beddardi Pocock, 1921) in the northern Brazilian Amazon. Studies on Neotropical Fauna and Environment 46(2): 85–90; http://dx.doi.org/10.1080/01650521.2011.572678
Sawyer, D.C. (2007). The Anesthetic Period: Maintenance, pp. 189–242. In: Sawyer, S.C. (ed.). The Practice of Veterinary Anesthesia: Small Animals, Birds, Fish and Reptiles. 1st Edition. Teton New Media, Jackson, Wyoming, USA.
Wolfe, L.L., W.R. Lance, D.K. Smith & M.W. Miller (2014). Novel combinations of nalbuphine and medetomidine for wildlife immobilization. Journal of Wildlife Diseases 50(4): 951–956; http://dx.doi.org/10.7589/2014-04-096
Yu, J.F., C.Y. Lien & L.C. Wang (2014). Comparison of xylazine-ketamine and dexmedetomidine-ketamine anesthesia in captive Formosan Serows (Capricornis swinhoei). Journal of Zoo and Wildlife Medicine 45(4): 787–791; http://dx.doi.org/10.1638/2013-0291.1